
| Deutsche Version |
| Using impedance matching or power matching you make the output impedance of a source equal to the input impedance of the load to which it is ultimately connected. T- and H-pads are used in radio frequency (RF) circuits to attenuate a signal (damping). It is applied where maximum energy (power) is transferred between a source and a load. Then Zsource = Zload. But in sound recording (audio), public address, and HiFi only impedance bridging is used with: Zsource << Zload or ZS << ZL or Zout << Zin The output impedance of the source is always much smaller than the input impedance of the load. In this case never try to calculate and use T- and H-pads circuits - better use voltage dividers instead. ![]() asymmetric symmetric Historical reasons show impedance values especially of 50 ohms, 200 ohms, or 600 ohms. Entering three or four values calculate the others. The value of Zload can be entered additionally, otherwise it uses automatically a 1 megohm load - unloaded open circuit. Use the left mouse button - click at a free space. |
Vunloaded means Vout without ZL. If wanted, Zsource of the generator can be added to Z1.
A negative solution means damping (loss) - positive solution means amplification (gain).
Voltage damping: 
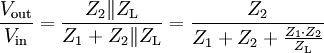
Output voltage: 
Parallel resistance: ![]()
See also: Calculation of damping
Impedance bridging or Voltage bridging Zout < Zin
| Unloaded voltage divider Rule of thumb: The voltages are proportional to the resistances. Formulas for the unloaded voltage divider:
|
| Calculator: Unloaded or open circuit voltage divider (potentiometer) |
Voltage Divider Calculator No. 2
| This calculator, given any three or four of the five possible values, will
give the results for the remaining one. The ZL value is optional, if not supplied, the calculator uses 1 Megohm. Usefull if you need to enter Vout. Fill in any three or four fields in the form below, then click the "calculate" button. The remaining field will be calculated, and the results displayed. If you make a new calculation, use always the "reset" button to clear all the boxes. Z = R. |
| To compute Input Voltage enter Z1, Output Voltage, and Z2 and then click the calculate button. To compute Z1 enter Input Voltage, Output Voltage, and Z2 and then click the calculate button. To compute Z2 enter Input Voltage, Output Voltage, and Z1 and then click the calculate button. To compute Output Voltage enter Input Voltage, Z1 and Z2 and then click the calculate button. If wanted, Zsource of the generator can be added to Z1. |
Voltage division ratioα = Ratio (Output Voltage to Input Voltage) = Vout / Vin
Z2 = (α × Z1) / ( 1 − α)
dB (level) = 20 × log α
Vout = Vin × [Z2 / (Z1 + Z2)]
|
Interconnection of two audio units - voltage bridging Zout < Zin Calculation of the damping of impedance bridging or impedance matching an interface connecting Zout and Zin |
Voltage divider (potentiometer) with different control characteristics
Figure: © Detlef Mietke − http://www.elektroniktutor.de/analog/u_teiler.html
![]() |
Interconnection of two audio units equals a circuit of a voltage divider − Z2 << Z1.
![]() |
Attention: The numbering of the impedances is inversely to a voltage divider.
![]() |
A panpot is made of two voltage dividers:

| Calculator: Unloaded or open circuit voltage divider (potentiometer) |
| In sound engineering there is no Impedance matching or Power matching. In audio we use only (high) Impedance bridging or Voltage bridging. |
| back |
Search Engine |
home |